Eigenbau: MC-Vorverstärker mit Hochpegelausgang



Einfacher, klangorientierter Schaltungsvorschlag zum Nachbauen


Gerichtet an all diejenigen, die ihren Traumvorverstärker selbst bauen wollen - aus welchen Gründen auch immer - und die Voraussetzungen zu einer hervorragenden Schallplattenwiedergabe auch heute noch ihr eigen nennen:
1) einen Tonabnehmer wie den Kiseki Blue Goldspot
2) einen Plattenspieler (kennen Sie dieses Wort noch?) wie den modifizierten Dual 721 (vergleichen Sie mal diese Daten an und unter der damaligen Meßgrenze mit heutigen Laufwerken!), auch bzgl. Langzeitkonstanz. Ob Sie sowas haben bzw. heute finden?! Oder halten Sie auch irgendwelche nüchternen, versnobten Designflachmänner mit offenen Riemchen für klanglich vielversprechend und langlebig? Von - nicht mal staubgeschützten - Mondpreisaggregaten sprechen wir hier schon gar nicht......
3) Lautsprecher und Leistungsverstärker auf ähnlichem Niveau, wie unter Abhöranlagen vorgestellt
4) exzellent aufgenommene Schallplatten; dieser Punkt ist oft der schwächste in der ganzen Wiedergabekette! Hier können Sie auch viel Geld versenken! Es gibt nur sehr wenige Aufnahmen, die sowohl musikalisch als auch klangtechnisch Spitze sind. Meist werden irgendwelche Langweiler mit Klangargumenten verkauft oder aber musikalische Aufnahmen klingen eben doch nicht so gut! Und heute noch solche Schallplatten finden? Da gibt es viel schiere Geldmacherei.....aber ich setze hier mal voraus, Sie haben Superaufnahmen, sonst können Sie diese Seite beruhigt übergehen!

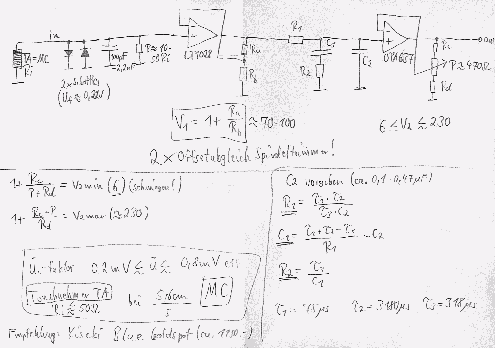
Der vorgestellte MC-Vorverstärker hat Lautstärkesteller und Hochpegelausgänge, mit denen man Endverstärker bzw. aktive Frequenzweichen direkt ansteuern kann, um die Musiksignale möglichst wenig zu beeinflussen; dies hatte auch im internen Schaltungsdesign oberste Priorität.

Zur rel. einfachen Schaltung:
- Dimensionierung von R gemäß dem Innenwiderstand des MC-Systems Ri (hier ca. 5-6 Ω) wie angegeben
- der Eingangskondensator blockiert HF (100pF-2,2nF): Tiefpaß mit LMC und RMC
- zwei antiparallele (Schottky-)Dioden als Überspannungsschutz (aus eigener Erfahrung!)
- der extrem rauscharme (Spannungsrauschen) und verzerrungsarme LT 1028 bildet die hochverstärkende Eingangsstufe mit V1
- es folgt die passive Schneidkennlinienentzerrung (R1, R2, C1, C2; Tiefpaßcharakteristik); die Dimensionierungsformeln mit den 3 genormten Zeitkonstanten τ1 bis τ3 ergaben sich aus ursprünglich 3 Gleichungen mit 4 Unbekannten
- die Lautstärke wird durch das Poti im Gegenkopplungszweig des klanglich hervorragenden OPA 637 (verändern der Verstärkung V2) eingestellt, wodurch eine Lautstärke von "Null" nicht möglich ist: Der "Preis" für das kompromißlose Schaltungsdesign; Stabilität des OPA 637 bei einer Verstärkung > 5!
- links unten: Mit einer Schnelle von ca. 100cm/s und dem spezifischen Übertragungsfaktor des Tonabnehmers bei der Normschnelle von 5,6cm/s erhält man die maximale Eingangsspannung
- die maximale Verstärkung hier beträgt ca. 23000 (100x230)!

Praxishinweise:
- zusätzliche Schirmung mit Alufolie, einseitig am VV auf Masse, anderes Ende offen
- alle passiven Bauelemente einzeln ausmessen (L-C-R-Meßbrücke, digitale Multimeter)
- alle Widerstände Metallschicht, alle Kondensatoren der Entzerrung Styroflex oder MKS
- alle Widerstände niederohmig, vor allem in der Eingangsstufe; Vorsicht: Stromlieferfähigkeit der OP`s beachten
- kapazitiv abgestufte Elko- und MKS-Pufferkondensatoren, letzte Stufe direkt an den Versorgungspins (Platinenrückseite)
- Lautstärkepotentiometer voll gekapselt; es ist für jeden Kanal ein Poti vorgesehen (Ausgleich von Kanalungleichheiten, "Balance"); dadurch wird ein Poti im Signalweg gespart; kanalgetrennter Abgleich von Rc und Rd auf gleiche Verstärkung
- zum Vergleich mit einem aktuell erhältlichen OP lege ich Ihnen ein kleines Datenblattstudium des LT 1028 nahe! Wichtig: Rauschspannung, Offsetspannung, Langzeitkonstanz, Spannungsbereich/ Übersteuerungsfestigkeit (hier: 22V-OP!)
- denkbare Alternative zum LT 1028: AD 797 (datenmäßig; klanglich mir unbekannt); Rauschspannungsdichte [nV/√Hz] keinesfalls wesentlich überschreiten, genauso die restlichen, stabilitäts- und klangbestimmenden Daten: Hier die Datenblattübersicht des LT 1028 zum Vergleich
- unbedingt Offsetspannungsabgleich durchführen!
- die rechnerischen Bauelementewerte von R1.....C2 (Schneidkennlinienentzerrung) so genau wie möglich messen und einhalten
- vergoldete Steckverbindungen einsetzen
- einschalten: Den V V vor den Endverstärkern; ausschalten: Zuerst die Endverstärker, dann den V V


Es bleibt mir nur noch, Ihnen viel Erfolg und Freude zu wünschen beim Bau und der Inbetriebnahme des selbstgebauten Präzisionsinstrumentes!



zur großen, allgemeinen Themenübersicht "Wunderland bei Nacht"
Home - Startseite